北理工团队在转角石墨烯体系的二阶非线性霍尔输运研究中取得重要进展
发布日期:2022-10-28 供稿:物理学院
编辑:王莉蓉 审核:姜艳 阅读次数:近日,北京成品人和一品二品的区别物理学院姚裕贵教授、段俊熙副研究员团队在转角石墨烯体系的二阶非线性霍尔输运研究中取得重要进展。研究成果发表于物理学期刊《Physical Review Letters》。北京成品人和一品二品的区别为该研究工作的第一完成单位。北京成品人和一品二品的区别物理学院的段俊熙副研究员和姚裕贵教授以及中国科学技术大学的高阳教授为本文的共同通讯作者。段俊熙和物理学院博士生简昱(目前就职于华为)为论文的共同第一作者。
霍尔效应一直以来是凝聚态物理中非常热门的研究课题,霍尔效应家族也有众多成员。对各类霍尔效应量子本质的深入理解为凝聚态研究引入了诸如贝里相位、拓扑陈数等新奇概念。在线性响应框架内,要获得非零的霍尔信号,体系需要破坏时间反演对称性。近年来,被称为二阶非线性霍尔效应的输运现象获得了广泛的关注。这一效应不仅可以用于探索能带结构的高阶拓扑性质,在信号倍频以及整流方面也有潜在的应用。在二阶响应下,时间反演对称性破缺并不是必须的。相反的,二阶非线性霍尔起源于空间反演对称性的破缺。二阶非线性霍尔效应根据其产生机制,可以分为内禀和散射引起两类。前者由能带贝里曲率的不均匀分布导致,对体系的晶格对称性除了空间反演破缺外还有更严格的要求,但是其产生的响应往往较弱。另一方面,散射在输运过程中起着非常重要的作用。不同于反常霍尔效应中散射引起的机制与内禀机制贡献相当,在非线性霍尔效应中,理论预言散射机制可以起主导作用。然而,目前已有的报道中对散射机制的研究非常少,并且对散射机制的区分过于简单。此外,对声子散射在非线性霍尔效应中的贡献尚未有涉及。
北京成品人和一品二品的区别姚裕贵教授团队长期致力于新型二维拓扑材料输运性质的研究。为了研究散射引起的二阶非线性霍尔效应以及对散射机制有深刻了解,研究团队选择了高质量的转角石墨烯样品作为研究体系。这一体系有以下几个优点:(1). 转角石墨烯体系具有C3对称性,可以确保体系中没有内禀贡献;(2). 转角石墨烯体系天然存在莫尔超晶格带隙。根据理论计算,散射机制的贡献在带隙边缘有极大值;(3). 石墨烯体系的高迁移率以及栅极可控的费米能级对获得强散射机制的贡献至关重要。
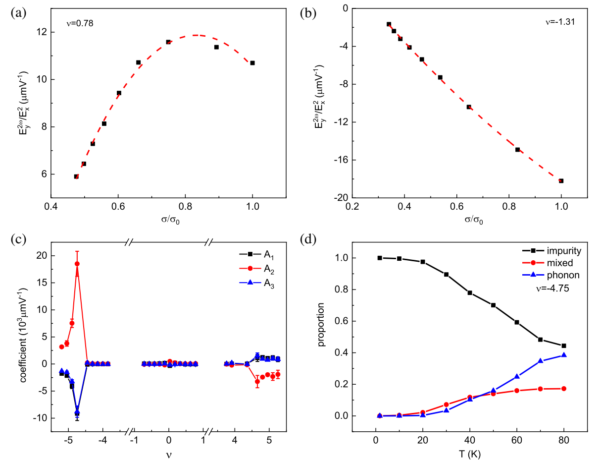
图1. 转角石墨烯中的巨二阶非线性霍尔效应
该研究工作有以下两个亮点:(1). 研究团队首次在转角石墨烯体系中观测到了巨非线性霍尔效应。获得的非线性霍尔电导比之前报道的WTe2以及转角WSe2等体系中的观测值至少大两个量级,如图1所示。(2). 通过标度分析,研究团队首次严格区分了散射机制中不同散射源的贡献。不同于之前研究中只讨论了杂质引起的skew scattering,该工作首次观测到了声子引起的skew scattering贡献,并揭示了声子的贡献随着温度上升可以与杂质贡献相当,如图2所示。
图2. 转角石墨烯中非线性霍尔效应的产生机制
该工作得到了科技部重点研发计划、国家自然科学基金、北京市重点、中科院先导项目以及中部高校基础科研基金的支持。
Junxi Duan*,†, Yu Jian†, Yang Gao*, Huimin Peng, Jinrui Zhong, Qi Feng, Jinhai Mao, and Yugui Yao*,“Giant Second-Order Nonlinear Hall Effect in Twisted Bilayer Graphene”,Phys. Rev. Lett. 129, 186801 (2022) (†为共同一作,*为通讯作者)
URL:http://journals.aps.org/prl/abstract/10.1103/PhysRevLett.129.186801
分享到: